金碧娱乐场
张文文在《资源开发与市场》发表题为“基于航空流的中国城市网络结构特征演变研究”的研究论文。金碧娱乐场
为论文第一署名单位,教师雷中英为论文通讯作者。
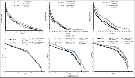
论文通过1995、2000、2005、2010、2015、2019年中国航空统计数据,采用复杂网络分析方法和地理探测器方法,探究中国城市网络结构特征和演变规律,并对驱动因素进行分析,研究结果表明:①中国城市网络具有明显的小世界性和一定的类无标度特征,城市网络规模不断扩散。②全国城市数量不断增加,中国城市网络呈现多中心、均衡化发展趋势。③中国城市网络逐渐形成”菱形结构“的核心框架,并显现两头高中间低的鞍型结构。④城市网络联系强度不断提高,形成4个联系层次,城市网络呈现明显的等级层次结构。⑤城市网络结构的演变受多重因素共同驱动,城市行政等级、旅游总收如和地方生产总值是影响城市网络结构的主要因素。



